Interpretando geometricamente queste condizioni possiamo dire che
- (Prima condizione) I vettori colonna [a, c] e [b, d] della matrice M hanno modulo 1.
- (Seconda condizione) I vettori colonna della matrice M sono perpendicolari (perchè il loro prodotto scalare è nullo).
Una matrice quadrata M che verifichi le due condizioni precedenti si dice ortogonale. Proveremo tra poco che una matrice ortogonale ha sempre determinante non nullo (quindi la corrispondenza individuata da una matrice ortogonale è biunivoca, è cioè una trasformazione geometrica). Mostriamo che l'essere M una matrice ortogonale è condizione sufficiente (oltre che necessaria, come si è visto) affinchè la trasformazione lineare definita da M sia un'isometria. Basta dimostrare che si conserva il modulo di qualsiasi vettore; procedendo con Derive
Osserva che l'equazione della riga #16, ottenuta semplificando la #15, è verificata per ogni x e y essendo a2 + c2 = 1, b2 + d2 = 1 e ab + cd = 0.
Mostriamo ora che una matrice ortogonale 2x2 è del tipo
con A2 + B2 = 1. Ecco il codice
Ora esaminiamo i due casi possibili d = -a oppure d = a, assumendo che a sia non nullo
Se infine a=0, si ha d=0; inoltre per la #23, b=±1 e per la #22, c=±1. In ogni caso dunque la matrice è del tipo indicato (ponendo A=a e B=c) e, per la #7, si ha A2 + B2 = 1.
Calcoliamo il determinante di una matrice ortogonale
Quindi, tenendo conto che A2 + B2 = 1, il determinate di una matrice ortogonale, cioè della matrice di un isometria lineare, è 1 oppure -1. Ciò è in accordo col fatto che un'isometria, conservando le distanze, conserva le aree (vedi l'esperimento 2 dell'attività 1). Osserva inoltre che se la matrice M è del tipo della riga #45 si tratta di un'isometria diretta, se è del tipo della riga #48 di un'isometria indiretta. Ricorda infatti che se il determinante di una trasformazione lineare è positivo allora si conserva l'orientamento (vedi l'esperimento 2 dell'attività 1) se è negativo si inverte l'orientamento.

Esperimento 1
Determina la matrice M della trasformazione lineare che ruota i versori degli assi di t radianti rispetto all'origine. Verifica che si tratta di un'isometria, più precisamente di una rotazione del piano attorno all'origine.
Un vettore OP di lunghezza unitaria ha la sua punta (cioè il vertice P) sulla circonferenza unitaria di equazione x2 + y2 = 1. Se il segmento OP forma un angolo di t radianti con l'asse delle x, le coordinate di P sono [cos t, sin t]. Ecco il foglio di lavoro
Inserisci, nella finestra grafica, una slider bar per il parametro t facendo variare t da 0 a 2PI (PI indica pigreco); poi traccia la rappresentazione grafica relativa alla righe #1 e #4. Otterrai la figura seguente ed agendo sul cursore della slider bar potrai ruotare il vettore OP (in senso antiorario al crescere di t).
Ora è facile determinare la matrice M grazie alla proprietà 5 delle trasformazioni lineari esaminata nell'attività precedente:
- il versore [1, 0] dovrà trasformarsi nel vettore [cos t, sin t] (prima colonna di M)
- il versore [0, 1] dovrà trasformarsi nel vettore [cos(
+ t), sin(
+ t)] (seconda colonna di M).
Ecco il codice
Osserva che semplificando la riga #6, Derive mette la matrice M(t) nella forma più semplice della riga #7 (applicando le note formule trigonometriche per archi che differiscono di 90°). La riga #7 ci fa capire che la matrice M(t) è del tipo
con A2 + B2 = 1 e quindi si tratta della matrice di un isometria. Poichè si ha det(M)=1 per ogni t, si tratta di un isometria diretta; ne segue che la trasformazione è necessariamente una rotazione del piano attorno all'origine, tenendo conto che l'origine è un punto fisso (qui devi ricordare che le isometrie dirette del piano sono rotazioni o traslazioni e che una traslazione di componenti non entrambe nulle non ha punti uniti).
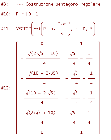
E' il momento di mettere alla prova il nostro comando rot(P, t). A titolo d'esempio costruiamo un pentagono regolare ruotando il punto P = [0, 1] rispetto all'origine di
(considereremo anche la rotazione nulla e quella di un angolo giro per ottenere all'inizio e alla fine il punto P). Ecco il codice
Tracciando la rappresentazione grafica della riga #12 (semplificazione della #11) ottieni il pentagono regolare della figura seguente
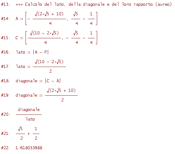
Visto che ci siamo, è anche facile calcolare la lunghezza del lato del pentagono (è il modulo del vettore PA) e la lunghezza della diagonale (è il modulo del vettore AC); potremo così verificare che il rapporto tra le due misure è la sezione aurea. Ecco il codice
Osservazione 1 Abbiamo dunque visto che la matrice di una rotazione attorno all'origine è del tipo
con A2 + B2 = 1.

Esperimento 2
Determina la matrice M della trasformazione lineare che ribalta i versori degli assi rispetto alla retta r passante per l'origine e formante un angolo di t radianti con l'asse delle x. Verifica che si tratta di un'isometria, più precisamente di una simmetria rispetto alla retta r.
Tenendo conto delle figure precedenti e della proprietà 5 delle trasformazioni lineari esaminata nell'attività precedente è facile determinare la matrice M:
- il versore i = [1, 0] dovrà trasformarsi nel vettore i' = [cos (2t), sin (2t)] (prima colonna di M)
- il versore j = [0, 1] dovrà trasformarsi nel vettore j' = [cos (2
-(
/2-2t)), sin(2
-(
/2-2t))] =
= [sin(2t), -cos(2t)] (seconda colonna di M).
Ecco il codice
La matrice M(t) è, come vedi, del tipo
Verifichiamo che si tratta della matrice di un'isometria indiretta e quindi, ricordando che le isometrie indirette del piano sono simmetrie o antitraslazioni (e che queste ultime non hanno punti uniti), si tratta necessariamente di una simmetria rispetto alla retta r
Proviamo il nostro comando simm(P, t). A titolo d'esempio consideriamo il pentagono regolare dell'esempio precedente (vai a rivedere la figura) e verifichiamo che torna su se stesso mediante una simmetria rispetto alla retta per l'origine e per il punto D (naturalmente si avrà una permutazione dei vertici). Tale retta forma evidentemente un angolo di
radianti con l'asse delle x. Ecco il codice
Confrontando le coordinate alle righe #12 e #15, ti rendi conto che ogni vertice del pentagono è trasformato in un altro vertice del pentagono e quindi la figura torna su se stessa.
Osservazione 2 Ci siamo dunque resi conto che un'isometria lineare è una rotazione rispetto all'origine oppure una simmetria rispetto ad una retta per l'origine.
- Nel primo caso la sua matrice è del tipo

o, equivalentemente, del tipo

- Nel secondo caso la sua matrice è del tipo

o, equivalentemente, del tipo
